문제
이진 검색 트리는 다음과 같은 세 가지 조건을 만족하는 이진 트리이다.
- 노드의 왼쪽 서브트리에 있는 모든 노드의 키는 노드의 키보다 작다.
- 노드의 오른쪽 서브트리에 있는 모든 노드의 키는 노드의 키보다 크다.
- 왼쪽, 오른쪽 서브트리도 이진 검색 트리이다.

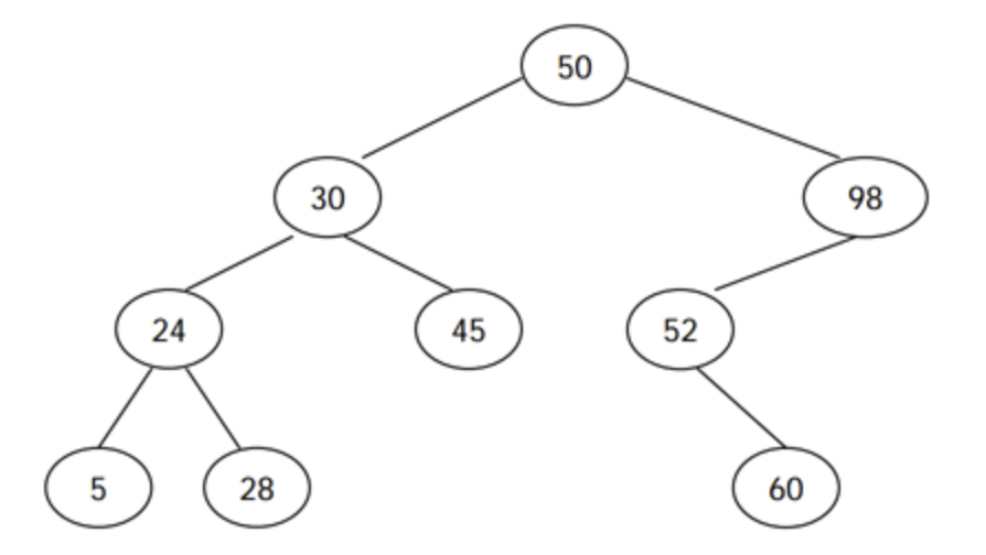
전위 순회 (루트-왼쪽-오른쪽)은 루트를 방문하고, 왼쪽 서브트리, 오른쪽 서브 트리를 순서대로 방문하면서 노드의 키를 출력한다. 후위 순회 (왼쪽-오른쪽-루트)는 왼쪽 서브트리, 오른쪽 서브트리, 루트 노드 순서대로 키를 출력한다. 예를 들어, 위의 이진 검색 트리의 전위 순회 결과는 50 30 24 5 28 45 98 52 60 이고, 후위 순회 결과는 5 28 24 45 30 60 52 98 50 이다.
이진 검색 트리를 전위 순회한 결과가 주어졌을 때, 이 트리를 후위 순회한 결과를 구하는 프로그램을 작성하시오.
입력
트리를 전위 순회한 결과가 주어진다. 노드에 들어있는 키의 값은 106보다 작은 양의 정수이다. 모든 값은 한 줄에 하나씩 주어지며, 노드의 수는 10,000개 이하이다. 같은 키를 가지는 노드는 없다.
출력
입력으로 주어진 이진 검색 트리를 후위 순회한 결과를 한 줄에 하나씩 출력한다.

풀이
풀이과정
1. 루트를 기준으로 왼쪽노드와 오른쪽노드를 분류하는 것을 반복
2. 루트만 존재하고 양쪽 노드가 없을때까지 분류하여 루트를 순차적으로 출력
코드
import sys
sys.setrecursionlimit(10**9)
preorder_arr = []
# 엔터 들어올 때까지 입력
while True:
try:
a = int(input())
preorder_arr.append(a)
except:
break
def postorder(root_idx, end_idx):
if root_idx > end_idx:
return
global preorder_arr
# 만약 root보다 큰 값 없는 경우 전부 왼쪽 서브트리로 취급
right_start = end_idx + 1
for i in range(root_idx + 1, end_idx + 1):
if preorder_arr[root_idx] < preorder_arr[i]:
right_start = i
break
# root 다음부터 왼쪽 서브트리 탐색
postorder(root_idx + 1, right_start - 1)
# 왼쪽 서브트리 탐색 끝나면 오른쪽 서브트리 탐색
postorder(right_start, end_idx)
# 왼쪽, 오른쪽 서브트리 탐색 끝나면 root 출력
print(preorder_arr[root_idx])
postorder(0, len(preorder_arr) - 1)
'Algorithm' 카테고리의 다른 글
| 백준 | 2750 : 수 정렬하기 (Python/파이썬) (0) | 2024.02.01 |
|---|---|
| [파이썬/Python] 백준 반복문(2739번/15552번/10951번) (0) | 2023.09.06 |
| [파이썬/Python] 백준 조건문(1330번/9498번/2753번/14681번/2884번/2525번/2480번) (0) | 2023.09.06 |
| [파이썬/Python] 백준 기본 입출력 및 사칙연산(1000번/1001번/10869번/10926번/2588번/10171번) (0) | 2023.09.04 |